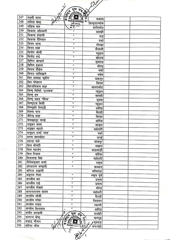
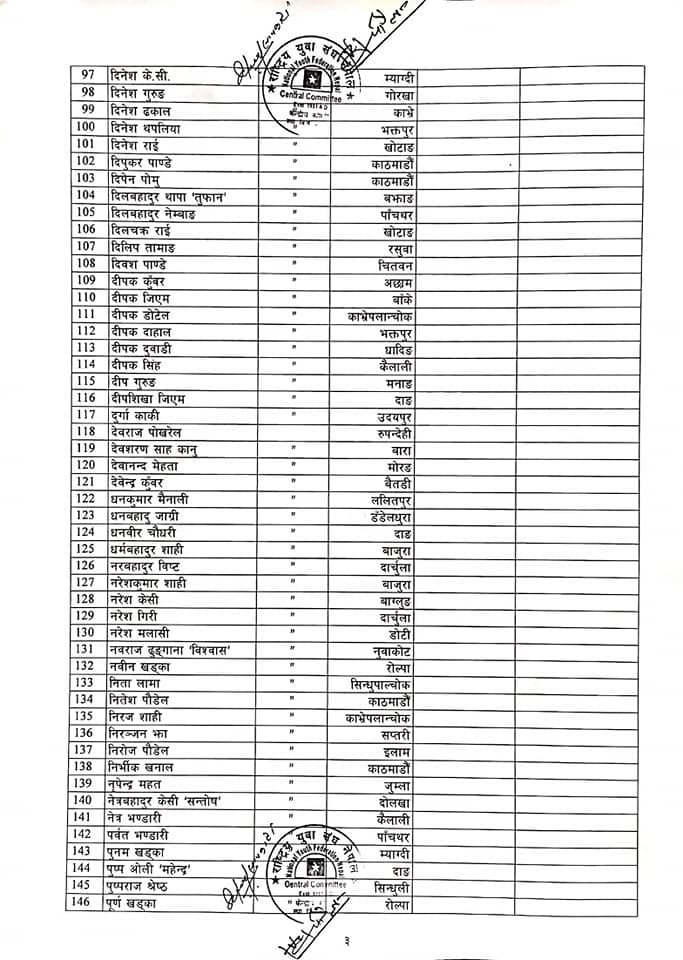
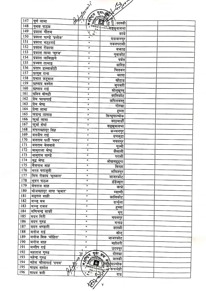
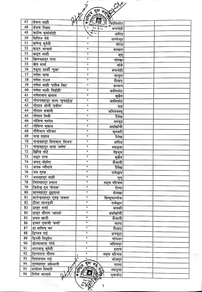
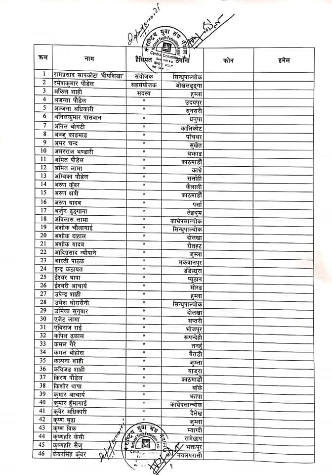
युवा संघले पायो पूर्णता, ३३१ जनाले पाए केन्द्रीय सदस्यको जिम्मेवारी (सूचीसहित)
१८ असोज, काठमाडाैँ । नेपाल कम्युनिष्ट पार्टी (नेकपा)को भ्रातृ संगठन राष्ट्रिय युवा संघले पूर्णता पाएको छ । दशैँको मुखमा ३३१ जनाले राष्ट्रिय युवा संघ नेपालको केन्द्रीय सदस्यको जिम्मेवारी पाएका छन । तत्कालीन युवा संघ र वाइसीएल नेपालबीच एकीकरण भएर बनेको राष्ट्रिय युवा संघ नेपालले दुबै संगठनबाट प्रस्तावित केन्द्रीय सदस्यहरुको नामावली टुंगो लगाएर पारित गरेको हो ।

युवा संघका इन्चार्ज महेश बस्नेत, राष्ट्रिय युवा संघका संयोजक रामप्रसाद सापकोटा र सहसंयोजक रमेश पाैडेलले जिम्मेवारीको टुंगो लगाएका हुन । युवा संघले केन्द्रीय समितिको बैठक कात्तिको १८ र १९ गतेका लागि बोलाएको छ भने २० र २१ गते राष्ट्रिय भेला पनि तोकेको छ । यस्तो छ जिम्मेवारी पाउनेहरूको सूची ।

प्रकाशित मिति : October 5, 2019 at 2:01 pm









