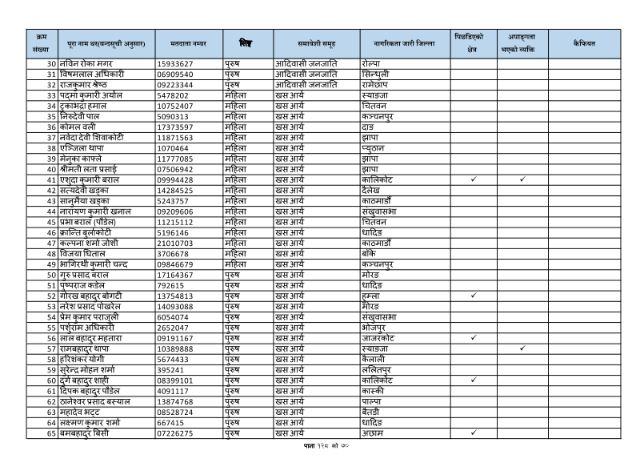
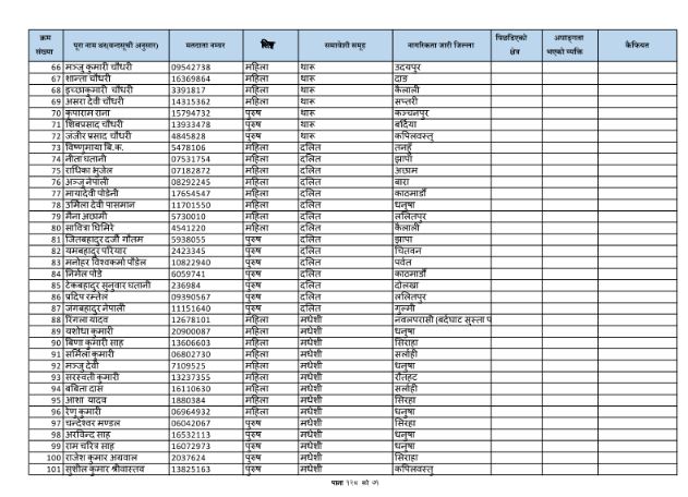
यी हुन् एमालेका ११० समानुपातिक उमेदवार
४ माघ, काठमाडौँ । नेकपा (एमाले) को समानुपातिक सूचीमा पार्टीका दुई पदाधिकारी छन् । निवार्चन आयोगले आज सार्वजनिक गरेको सूचीअनुसार आदिवासी जनजातितर्फ पुरुषमा उपाध्यक्ष रामबहादुर थापा मगरको नाम छ भने महिलामा भूमिका लिम्बु सुब्बाकाे नाम पहिलो नम्बरमा छ।
त्यस्तै, खसआर्य महिलातर्फ सचिव पद्मा अर्यालको नाम पहिलो नम्बरमा छ । खसआर्यपुरुषतर्फ पूर्वउपाध्यक्ष गुरुप्रसाद बराल छन् । समानुपातितर्फ ११० मध्ये कतिपय नयाँ उमेदवार समावेश छन् ।




प्रकाशित मिति : ४ माघ २०८२, आईतवार २२:५८








